วิธีการลงทะเบียน กิจกรรมชุมนุมผ่านทางระบบ E-SCHOOL กิจกรรมชุมนุม วันที่ 20 พฤษภาคม 2568 เปิดระบบ 20 พ.ค.68 เวลา 14.40 น.- ปิดระบบ 24.00 น.
- 20 พ.ค. 2568 เวลา 10:23 น.
- 11,486

- Tweet

วิธีการลงทะเบียน กิจกรรมชุมนุมผ่านทางระบบ E-SCHOOL
กิจกรรมชุมนุม วันที่ 20 พฤษภาคม 2568 เปิดระบบ 20 พ.ค.68 เวลา 14.40 น.- ปิดระบบ 24.00 น.
กิจกรรมชุมนุม วันที่ 20 พฤษภาคม 2568 เปิดระบบ 20 พ.ค.68 เวลา 14.40 น.- ปิดระบบ 24.00 น.
หมายเหตุ : ลงทะเบียนผ่าน E-SCHOOL
(ลิงก์ทาง Fb : วิชาการโรงเรียนเพชรพิทยาคม ครูที่ปรึกษา เว็บไซต์รร.เพชรพิทยาคม และ Line หัวหน้าห้อง)
ขั้นตอนการเลือกกิจกรรมชุมนุม
1.เลือกผ่านระบบ E-SCHOOL
จะแจ้งลิงก์ผ่านทาง FB:วิชาการโรงเรียนเพชรพิทยาคม โดยครูที่ปรึกษาหรือหัวหน้าห้องจะเป็นผู้ส่งลิงก์ให้และใช้ E-MAIL โรงเรียนเท่านั้น
เลือกได้เพียง 1 ครั้งเท่านั้น
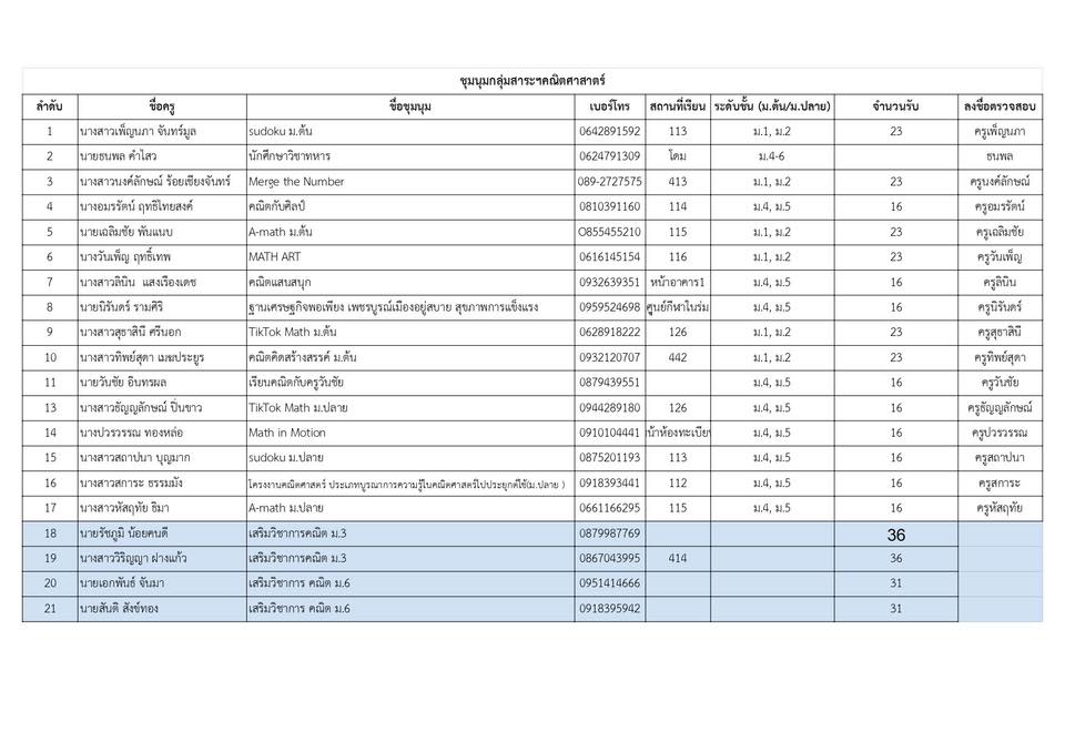
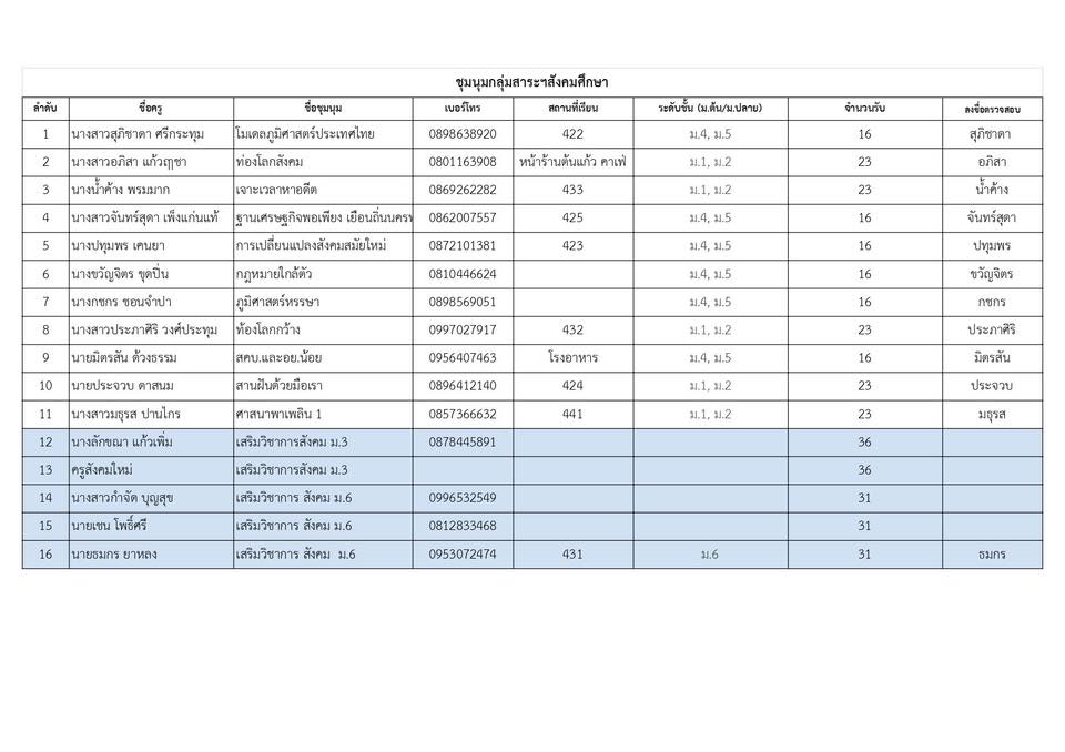
2.แต่ละกิจกรรมจะรับนักเรียนจำนวนจำกัด (ตามป้ายประชาสัมพันธ์) หากกิจกรรมที่เลือกเต็มจะเลือกไม่ได้ ให้นักเรียนเลือกกิจกรรมอื่น
3.เปิด-ปิด ลิงก์ตามวันเวลาที่ระบุไว้
4. ประกาศผลการลงทะเบียนผ่านทาง FB:วิชาการโรงเรียนเพชรพิทยาคม กิจกรรมชุมนุม วันที่ 23 พฤษภาคม พ.ศ. 2568
5.กรณีนักเรียนไม่สามารถลงทะเบียนกิจกรรมชุมนุมได้ตามเวลาที่กำหนด
ระบบจะลงทะเบียนกิจกรรมชุมนุมให้โดยอัตโนมัติ
ติดต่อสอบถามเพิ่มเติม ณ ห้องวิชาการ 411 ภายในวันที่ 28 พ.ค. 2568














